网站首页  词典首页


请输入您要查询的字词:

 

字词 德宾-沃森指标
类别 中英文字词句释义及详细解析
释义 德宾-沃森指标

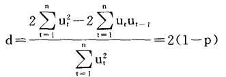
德宾-沃森指标d,可以用下列方程计算:

式中ut代表回归分析中的误差项(即残差),(见“可决系数”辞条)。

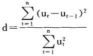
d实质上就是残差的第一级差分平方和除以残差平方和的商。

上式可以改写为

在这里,p是各个连续残差的相关系数。如果p=0,表明各个残差相互独立,d将等于2;如果p接近于1,表明各个残差为正序列相关,d将趋向于零;如果p为负值,表明各个残差为负序列相关,d值将增大,并以4为上限,这时残差呈完全负序列相关,p=-1。由此可见,德宾-沃森指标可以用来测定回归分析中、残差出现序列相关现象的程度。

d=2时,说明残差中不存在序列相关,d值偏离2时,说明残差的分布不是随机分布。

随便看

 

离鸟网收录3541549条中英文词条,其功能与新华字典、现代汉语词典、牛津高阶英汉词典等各类中英文词典类似,基本涵盖了全部常用中英文字词句的读音、释义及用法,是语言学习和写作的有利工具。

 

Copyright © 2004-2024 vtrois.com All Rights Reserved
更新时间:2026/4/18 3:49:21