网站首页  词典首页


请输入您要查询的字词:

 

字词 影子价格
类别 中英文字词句释义及详细解析
释义 影子价格

从资源(生产要素)变化引起的产值变化推算出资源对产值的边际贡献。

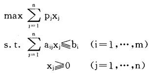
标准的线性规划问题可写成:

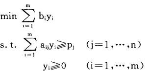
它的对偶问题是

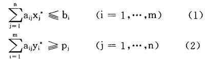
用x*和y*分别记原问题和对偶问题的最优解,则作为线性规划的对偶定理的一部分,可以证明如下结果:

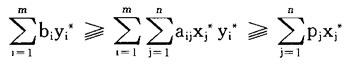
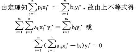
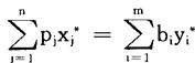
定理。当原问题和对偶问题都存在可行解(即满足约束条件的解)时,则两问题的最优解必存在,且两最优目标函数值相等,即:

在原问题中,如把pj看成第j种产品的价格,xj看成第j种产品的产量,aij表示为了生产一单位第j种产品所必须的第i种资源的投入量,bi看成第i种资源的最大可能供应量,则原问题就可解释为在资源约束下最大化产值的问题。

为了解释对偶问题中最优解y*的经济意义,注意x*和y*分别为两问题的可行解,从而有

分别用yi*和xj*乘(1)和(2)的两边,再加总得

这个等式称为互补松弛条件。对此条件可分以下两种情形讨论:

(1)如对某个i有aijxj*<bi

这时由互补松弛条件推出yi*=0。这意味著当第i种资源有多余时,这种资源的归属价格(又称影子价格,机会成本)yi*=0。在经济学中称这种资源为自由物品。

(2)如对某个h有Σahjxj*=bh,则由互补松弛条件推得y≧0。

现把第h种资源的约束从bh变为bh+△bh,△bh为充分小量,则原问题的解从x*变为x*+△x*,从而最优值为Σpj(xj*+△x),相应地对偶问题的解从y*变为y*+△y*,最优值为(bi+△bi)(y*+△y*)。由定理知:

pi(x+△xj*)=(bi+△bi)(yj*+△yi*)

注意pjxj*=biyi*并略去高阶项得#pj△xj*=△biyi*。如果仅令第h种资源约束变化一单位,即△bh=1,△bi=0(i≠h),则得y#=Σpj△xj*。这个等式的右边正好是第h种资源变化一单位时最优值的变化量,从而对偶变量y就是当第h种资源约束bh变化一单位时最优总产值的变化量,称它为第h种资源的影子价格。

如果资源i的影子价格yi*=0,则增加一单位资源不能引起最优总产值的增加;如果资源h的影子价格y>0,则增加一单位资源所引起的最优总产值增量为y。当资源h的市场价格qh>y时,厂商应该出售这种资源;当qh<y时,厂商应该购进这种资源。

因此,对偶变量y虽然不是资源h的市场价格,但它可看成一种参考价格,这就是影子价格这一名称的由来。

随便看

 

离鸟网收录3541549条中英文词条,其功能与新华字典、现代汉语词典、牛津高阶英汉词典等各类中英文词典类似,基本涵盖了全部常用中英文字词句的读音、释义及用法,是语言学习和写作的有利工具。

 

Copyright © 2004-2024 vtrois.com All Rights Reserved
更新时间:2026/4/18 9:00:54