网站首页  词典首页


请输入您要查询的字词:

 

字词 弹性力学基础
类别 中英文字词句释义及详细解析
释义 弹性力学基础

2.1.1 应力

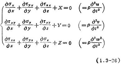
一点的应力状态:在oxyz直角坐标系中,可用σx、σy、σz和τxy、τyx、τzx、tyx、τey、τxz九个应力分量表示一点的应力状态,如图1.3-26所示。

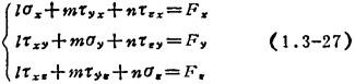
过一点任意斜截面的应力:设任意斜截面ABC上总应力SN在坐标轴方向分量为XN、YN和ZN,如图1.3-27所示,则有

XN=1σx+mτyx+nτzx

ZN=lτxz+mτyz+nσz

总应力在法向、切向的分量分别为

σN=l2σx+m2σy+n2σz+2Imτxy+2mnτyz+2nlτzx

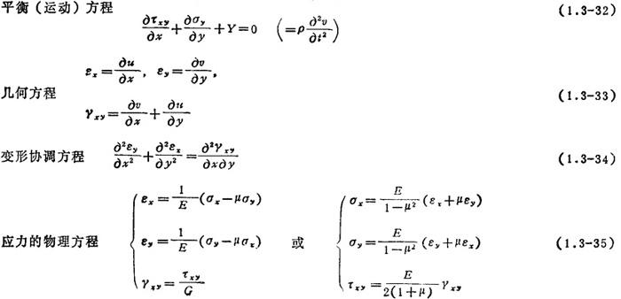
平衡(运动)方程:在直角坐标系中,平衡(运动)方程为

式中 X、Y、Z分别为单位体积力在坐标轴上投影。

边界条件:

式中 Fz、Fy、Fz为单位面积上面力分量。

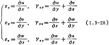
2.1.2 应变

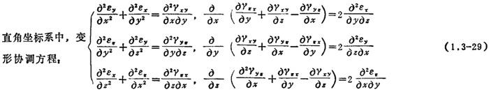
应变与位移的关系——(直角坐标系中)几何方程

式中 u、v、ω为位移分量;εz、εy、ee和γxy、γyz、γzx为应变分量。

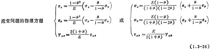
2.1.3 应力应变关系——物理方程

对于各向同性材料,物理方程可表示为如下形式。

以应力分量表示应变分量:

式中 E为弹性模量;G为剪切弹性模量:μ为泊松比;θ=εxy+ez,为体积应变;,为拉梅常数。

2.1.4 平面问题的基本方程和边界条件

弹性体的平面问题是空间问题的特例。此时弹性体的几何参数和所受外力只是x、y的函数,与z坐标无关。平面问题又分为平面应力问题和平面应变问题。

(1)平面问题的基本方程

(2)平面问题的边界条件

位移边界条件(在Su上):“=“,

应力边界条件(在Sa上):{lσx+mτyr=Pxxy+mσy=Fy (1.3-37)

(3)平面问题的基本解法

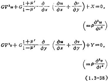
位移法:以位移为基本未知量,其基本方程为

式中为拉普拉斯算子:

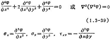
应力法:以应力为基本未知量,应力函数为φ,其基本方程为

2.1.5 平面问题常用应力公式

见表1.3-26。

表1.3-26 几种平面问题的应力公式

2.1.6 接触应力问题

两个互相接触的物体由于挤压产生的应力,称为接触应力。在接触处不允许自由变形,常呈三向应力状态。对于滚珠轴承、滚柱轴承、齿轮等零件进行强度计算时,应主要考虑接触应力。

根据弹性理论分析,一般情况下,接触面为椭圆面,长、短半轴分别为a、b,根据两接触物体的形状和材料性质可以求出a、b的数值。最大接触应力σmax发生在接触面中心,其值为

接触应力的强度校核,应采用第三或第四强度理论(见1.1.4中表1.3-5)。

几种常见接触应力的计算公式见表1.3-27。

表1.3-27 确定两个物体接触应力和参数的计算公式

注:表中系数nn、nb、nP和n与A/B有关,见表1.3-28。

表1.3-28 na、nb、np的计算值

随便看

 

离鸟网收录3541549条中英文词条,其功能与新华字典、现代汉语词典、牛津高阶英汉词典等各类中英文词典类似,基本涵盖了全部常用中英文字词句的读音、释义及用法,是语言学习和写作的有利工具。

 

Copyright © 2004-2024 vtrois.com All Rights Reserved
更新时间:2026/4/19 13:15:18