弹性
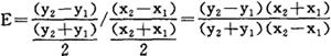
具有函数关系的一个变量对另一个变量的微小的百分比变动所作的反应。 在经济分析电,经常涉及一对相关经济变量之间的关系,如某种商品价格的一定的变动率,既会对该商品的供给量带来影响,又会对该商品的需求量带来影响。供给量对价格的微小的百分比变动所作的反应,就是供给弹性。 需求量对价格的微小百分比变动所作的反应,就是价格需求弹性。 通常用弹性系数来衡量弹性的大小。如果x和y为两个相互联系的市场变量,函数关系为:y=f(x),E代表弹性系数,△表示变动,则:  弹性系数作为两个变量百分比变化的比率,其计算必须在变量的某一具体变化范围内,严格地说这一变化范围应无穷小。如果这一范围足够小,计算时可以忽略,如果这一范围有一定重要性或当变量变动较大时,可计算弧弹性系数,即连接函数的起点和终点的直线段中点上的弹性。 如以y1 代表变动前的因变量,y2 代表变动后的因变量;x1 代表变动前的自变量,x2 代表变动后的自变量,则弧弹性的计算公式为:  如果函数的正确公式已知,可用微积分法求出某一点上较为精确的弹性:  弹性概念适用于任何一对相关的统计数字,具有典型特征的弹性分析,有需求价格弹性、收入需求弹性、交叉弹性、供给弹性等。当E>1,则弹性充足;当E<1,则缺乏弹性;当E=1,称为单位弹性。 |