网站首页  词典首页


请输入您要查询的字词:

 

字词 弯管
类别 中英文字词句释义及详细解析
释义 弯管

表8-6

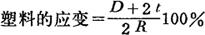
塑料管材的弯管中或塑料包复管材中的应变值如下:

式中:D=塑料管材的内径或金属管材的外径(时或毫米)

t=塑料管材或包复材料的厚度(时或毫米)

R=管材对管材纵轴的弯曲半径(时或毫米)

随便看

 

离鸟网收录3541549条中英文词条,其功能与新华字典、现代汉语词典、牛津高阶英汉词典等各类中英文词典类似,基本涵盖了全部常用中英文字词句的读音、释义及用法,是语言学习和写作的有利工具。

 

Copyright © 2004-2024 vtrois.com All Rights Reserved
更新时间:2026/4/20 22:06:56