网站首页  词典首页


请输入您要查询的字词:

 

字词 弧长
类别 中英文字词句释义及详细解析
释义 弧长

在半径为R的圆中,n°的圆心角所对的弧长的计算公式为:

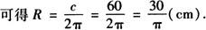
例1 已知圆周长为60cm,圆周上一段弧所对的圆心角是150°,求这段弧长.

解 根据圆的周长公式c=2πR,

再根据弧长公式

答 这段弧长为25cm.

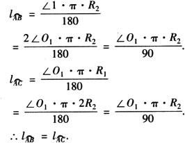
例2 如图,已知☉O1的半径R1是☉O2的半径R2的2倍,☉O1的半径O1C交☉O2于B点,求证的长相等.

证明 连接O2B,则∠1=2∠O1

根据弧长计算公式可得

随便看

 

离鸟网收录3541549条中英文词条,其功能与新华字典、现代汉语词典、牛津高阶英汉词典等各类中英文词典类似,基本涵盖了全部常用中英文字词句的读音、释义及用法,是语言学习和写作的有利工具。

 

Copyright © 2004-2024 vtrois.com All Rights Reserved
更新时间:2026/4/19 23:54:20