网站首页  词典首页


请输入您要查询的字词:

 

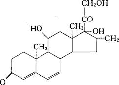
字词 异泼尼定
类别 中英文字词句释义及详细解析
释义 异泼尼定

C22H28O5=372.46

CAS-17332-61-5

11β,17,21-三羟基-16-亚甲基孕甾-4,6-二烯-3,20-二酮。

11β,17,21-Trihydroxy-16-methylenepregna-4,6-diene-3,20-dione.

6-去氢-16-亚甲基皮质醇(氢化可的松)。

6-Dehydro-16-methylenecortisol.

肾上腺皮质激素类药。

Isoprednidene,StC 407.

INN,BAN,USAN.

随便看

 

离鸟网收录3541549条中英文词条,其功能与新华字典、现代汉语词典、牛津高阶英汉词典等各类中英文词典类似,基本涵盖了全部常用中英文字词句的读音、释义及用法,是语言学习和写作的有利工具。

 

Copyright © 2004-2024 vtrois.com All Rights Reserved
更新时间:2026/4/18 23:52:52