网站首页  词典首页


请输入您要查询的字词:

 

字词 异戊巴比妥[典]
类别 中英文字词句释义及详细解析
释义 异戊巴比妥[典]

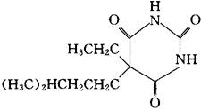
C11H18N2O3=226.27

CAS-57-43-2

5-乙基-5-异戊基巴比土酸。

5-Ethyl-5-isopentylbarbituric acid.

5-乙基-5-(3-甲基丁基)-2,4,6(1H,3H,5H)嘧啶三酮。

5-Ethyl-5-(3-methylbutyl)-2,4,6(1H,3H,5H)-pyrimidinetrione.

催眠药。

用于失眠及惊厥。

阿米妥,异戊巴比妥(台)。

Amobarbital,Amytal,Amylobarbitone,Amobarbitale,Pentymalum,Barbamylum.

异戊巴比妥片(阿米妥片),异戊巴比妥锭。

INN,BP,DCF,DCIT,EP,FP,JP,NF,NFN,USAN,USP,USSRP,MI.

随便看

 

离鸟网收录3541549条中英文词条,其功能与新华字典、现代汉语词典、牛津高阶英汉词典等各类中英文词典类似,基本涵盖了全部常用中英文字词句的读音、释义及用法,是语言学习和写作的有利工具。

 

Copyright © 2004-2024 vtrois.com All Rights Reserved
更新时间:2026/4/20 3:36:42