网站首页  词典首页


请输入您要查询的字词:

 

字词 异帕米星
类别 中英文字词句释义及详细解析
释义 异帕米星

C22H43N5O12=569.61

CAS-58152-03-7

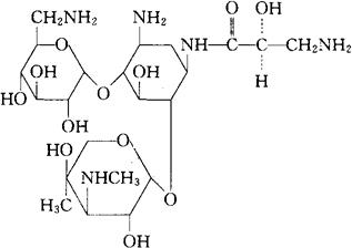
(S)-O-6-氨基-6-去氧-α-D-吡喃葡糖基-(1→4)-O[3-去氧-4-C-甲基-3-(甲氨基)-β-L-阿拉伯吡喃糖基-(1→6)]-N1-(3-氨基2-羟-1-氧代丙基)-2-去氧-D链霉胺。

(S)-O-6-Amino-6-deoxy-α-D-glucopyranosyl-(1→4)-O-[3-deoxy-4-C-methyl-3-(methylamino)-β-L-arabinopyranosyl-(1→6)]-N1-(3-amino-2-hydroxy-1-oxopopyl)-2-deoxy-D-streptamine.

O-6-氨基-6-去氧-α-D-吡喃葡糖基-(1→4)-O-[3-去氧-4-C-甲基-3-(甲氨基)-β-L-阿拉伯吡喃糖基-(1→6)-2-去氧-N′-[(S)异丝氨酰]-D-链霉胺。

O-6-Amino-6-deoxy-α-D-glucopyranosyl-(1→4)-O-[3 deoxy-4-C-methyl-3-(methylamino-β-L-arabinopyrano syl-(1→6)]-2-deoxy-N1[(S)-isoseryl]-D-strep tamin

抗菌药(氨基糖甙类抗生素类药)。

Isepamicin,Sch 21420,Exacin,Lsepamicin.

INN,BAN,USAN.

随便看

 

离鸟网收录3541549条中英文词条,其功能与新华字典、现代汉语词典、牛津高阶英汉词典等各类中英文词典类似,基本涵盖了全部常用中英文字词句的读音、释义及用法,是语言学习和写作的有利工具。

 

Copyright © 2004-2024 vtrois.com All Rights Reserved
更新时间:2026/4/18 16:54:02