网站首页  词典首页


请输入您要查询的字词:

 

字词 异分母分式加减法法则
类别 中英文字词句释义及详细解析
释义 异分母分式加减法法则

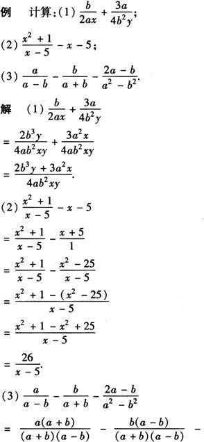
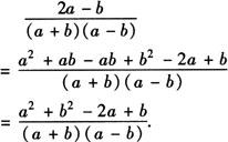
异分母分式相加减,先通分,化为同分母的分式,然后再按同分母分式的加减法法则进行计算.

2.异分母分式加减法的关键是通分,而通分的关键是确定最简公分母.

3.化简结果应为最简分式或整式.

随便看

 

离鸟网收录3541549条中英文词条,其功能与新华字典、现代汉语词典、牛津高阶英汉词典等各类中英文词典类似,基本涵盖了全部常用中英文字词句的读音、释义及用法,是语言学习和写作的有利工具。

 

Copyright © 2004-2024 vtrois.com All Rights Reserved
更新时间:2026/4/18 11:40:54