网站首页  词典首页


请输入您要查询的字词:

 

字词 异冬谷酸
类别 中英文字词句释义及详细解析
释义 异冬谷酸

C11H16N2O8=304.26

CAS-3106-85-2

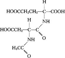
N-(N-乙酰-L-α-天冬氨酰)-L-谷氨酸。

N-(N-Acetyl-L-α-aspartyl)-L-glutamic acid.

抗变态反应药,抗过敏药。

异斯帕氨酸,纳克西亚。

Isospaglumic Acid,Spaglumic Acid,Asphocalcium.

INN,USAN.

随便看

 

离鸟网收录3541549条中英文词条,其功能与新华字典、现代汉语词典、牛津高阶英汉词典等各类中英文词典类似,基本涵盖了全部常用中英文字词句的读音、释义及用法,是语言学习和写作的有利工具。

 

Copyright © 2004-2024 vtrois.com All Rights Reserved
更新时间:2026/4/20 14:03:24