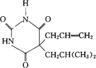
异他尔比妥
C11H16N2O3=224.26 CAS-77-26-9 5-烯丙基-5-异丁基巴比土酸。 5-Allyl-5-isobutylbarbituric acid. 5-烯丙基-5-异丁基-2,4,6(1H,3H,5H)-嘧啶三酮。 5-Allyl-5-isobutyl-2,4,6(1H,3H,5H)-pyrimidinetrione. 催眠镇静药。 布他比妥。 Alisobumal(NFN),Butalbital,Sandoptal,Allylbarbiuric Acid. INN,DCF,DCIT,NFN,USAN,USP,MI.  |