网站首页  词典首页


请输入您要查询的字词:

 

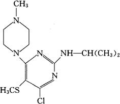
字词 异丙齐拉明
类别 中英文字词句释义及详细解析
释义 异丙齐拉明

C13H22ClN5S=315.86

CAS-55477-19-5

4-氯-2-(异丙氨基)-6-(4-甲基-1-哌嗪基)-5-(甲硫嘧啶)。

4-Chloro-2-(isopropylamino)-6-(4-methyl-1-piperazinyl)-5-(methylthiopyrimidine).

4-氯-N-(1-甲基乙基氨基)-6-(4-甲基-1-哌嗪基)-5-(甲硫)-2-嘧啶胺。

4-Chloro-N-(1-methylethylamino)-6-(4-methyl-1-piperazinyl)-5-(methy1thio)-2-pyrimidinamine.

镇静药,镇吐药。

异丙哌嘧啶。

Iprozilamine.

INN,USAN.

随便看

 

离鸟网收录3541549条中英文词条,其功能与新华字典、现代汉语词典、牛津高阶英汉词典等各类中英文词典类似,基本涵盖了全部常用中英文字词句的读音、释义及用法,是语言学习和写作的有利工具。

 

Copyright © 2004-2024 vtrois.com All Rights Reserved
更新时间:2026/4/21 3:13:41