网站首页  词典首页


请输入您要查询的字词:

 

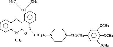
字词 异丙硫氮
类别 中英文字词句释义及详细解析
释义 异丙硫氮

C37H49N3O5S=647.87

CAS-105118-13-6

(+)-(R)-2-异丙基-4-甲基-2-[邻-[4-[4-(3,4,5-三甲氧苯乙基)-1-哌嗪基]丁氧]苯基]-2H-1,4-苯并噻嗪-3(4H)-酮。

(+)-(R)-2-Isopropyl-4-methyl-2-[o-[4-[4-(3,4,5-trimethoxyphenethyl)-1-piperazinyl]butoxy]phenyl]-2H-1,4-benzothiazin-3(4H)-one.

钙通道阻滞药。

Iprotiazem.

INN,USAN.

随便看

 

离鸟网收录3541549条中英文词条,其功能与新华字典、现代汉语词典、牛津高阶英汉词典等各类中英文词典类似,基本涵盖了全部常用中英文字词句的读音、释义及用法,是语言学习和写作的有利工具。

 

Copyright © 2004-2024 vtrois.com All Rights Reserved
更新时间:2026/4/20 23:44:11