网站首页  词典首页


请输入您要查询的字词:

 

字词 异丙佐罗
类别 中英文字词句释义及详细解析
释义 异丙佐罗

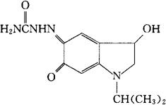
C12H16N4O3=264.28

CAS-7248-21-7

3-羟-1-异丙基-5,6-二氢吲哚二酮-5-缩氨基脲。

3-Hydroxy-1-isopropyl-5,6-indolinedione-5-semicarbazone.

2-[1,2,3,6-四氢-3-羟基-1-(1-甲基乙基)-6-氧代-5H-吲哚-5-亚基]肼甲酰胺。

2-[1,2,3,6-Tetrahydro-3-hydroxy-1-(1-methylethyl)-6-oxo-5H-indol-5-ylidene]hydrazinecarboxamide.

N-异丙基去甲肾上腺素红单半缩脲。

N-Isopropylnoradrenochrome monosemicarbazone.

抗偏头痛药,抗血清素药。用于治疗周期性偏头痛和止血。

Iprazochrome,Iprenazone,Divascan,Migrenon,IAS.

INN,GDP,USAN.

随便看

 

离鸟网收录3541549条中英文词条,其功能与新华字典、现代汉语词典、牛津高阶英汉词典等各类中英文词典类似,基本涵盖了全部常用中英文字词句的读音、释义及用法,是语言学习和写作的有利工具。

 

Copyright © 2004-2024 vtrois.com All Rights Reserved
更新时间:2026/4/21 12:31:39