网站首页  词典首页


请输入您要查询的字词:

 

字词 异丁司特
类别 中英文字词句释义及详细解析
释义 异丁司特

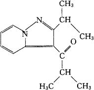
C14H18N2O=230.31

CAS-50847-11-5

1-(2-异丙基吡唑并[1,5-a]吡啶-3-基)-2-甲基-1-丙烷酮。

1-(2-Isopropylpyrazolo[1,5-a]pyridin-3-yl)-2-methyl-1-prop-anone.

3-异丁酰-2-异丙基吡唑并[1,5-a]吡啶。

3-Isobutyryl-2-isopropylpyrazolo[1,5-a]pyridine.

2-甲基-1-[2-(1-甲基乙基)吡唑并[1,5-a]吡啶-3-基]-1-丙烷酮。

2-Methyl-1-[2-(1-methylethyl)pyrazolo[1,5-a]pyridin-3-yl]-1-propanone.

抗过敏性药,血管扩张药。用于支气管哮喘、脑梗塞、脑出血后遗症、脑动脉硬化症。

Ibudilast,KC 404.

INN,USAN.

随便看

 

离鸟网收录3541549条中英文词条,其功能与新华字典、现代汉语词典、牛津高阶英汉词典等各类中英文词典类似,基本涵盖了全部常用中英文字词句的读音、释义及用法,是语言学习和写作的有利工具。

 

Copyright © 2004-2024 vtrois.com All Rights Reserved
更新时间:2026/4/21 1:49:37