网站首页  词典首页


请输入您要查询的字词:

 

字词 开普勒三大定律的内容
类别 中英文字词句释义及详细解析
释义 开普勒三大定律的内容

1.第一定律(椭圆轨道定律):所有行星分别在大小不同的椭圆轨道上围绕太阳运动,太阳在这些椭圆的一个共同焦点上.

2.第二定律(面积定律):对每个行星而言,太阳和行星的连线在相等时间内扫过的面积相等.

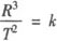
3.第三定律(周期定律):所有行星的椭圆轨道半长轴R的三次方跟公转周期T的平方的比值都相等,即

比值k是一个与行星无关的常量.

开普勒三定律是行星绕日运动规律,也适用于卫星绕行星如月球绕地球的运动,这时定律的k值与卫星无关,只与行星有关.

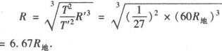
例 月球环绕地球运动的轨道半径约为地球半径的60倍,运行周期约为27天,应用开普勒定律计算:在赤道平面内离地面多高,人造地球卫星可以随地球一起转动,就像停留在天空中不动一样?

分析 月球和人造地球卫星都在环绕地球运动,根据开普勒第三定律,它们运行轨道的半径的三次方跟圆周运动周期的二次方的比值是相等的.

解 设人造地球卫星运行半径为R,周期为T,根据开普勒第三定律有

同理设月球轨道半径为R′,周期为T′,也有由以上两式可得

在赤道平面内离地面高度

H=R—R=6.67R—R=5.67R=5.67×6.4×103km=3.63×104km.

随便看

 

离鸟网收录3541549条中英文词条,其功能与新华字典、现代汉语词典、牛津高阶英汉词典等各类中英文词典类似,基本涵盖了全部常用中英文字词句的读音、释义及用法,是语言学习和写作的有利工具。

 

Copyright © 2004-2024 vtrois.com All Rights Reserved
更新时间:2026/4/17 15:26:35