网站首页  词典首页


请输入您要查询的字词:

 

字词 开口皮带长度的估算
类别 中英文字词句释义及详细解析
释义 开口皮带长度的估算

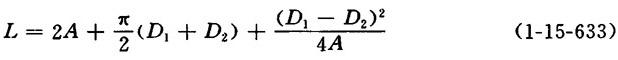
【公式】

式中 L——皮带长度(mm)

A——皮带轮中心距(mm)

D1——皮带轮直径(mm)

D2——皮带轮直径(mm)

【例】 已知:A=3000mm,D1=400mm,D2=1000mm,求皮带长度。

随便看

 

离鸟网收录3541549条中英文词条,其功能与新华字典、现代汉语词典、牛津高阶英汉词典等各类中英文词典类似,基本涵盖了全部常用中英文字词句的读音、释义及用法,是语言学习和写作的有利工具。

 

Copyright © 2004-2024 vtrois.com All Rights Reserved
更新时间:2026/4/20 8:49:23