网站首页  词典首页


请输入您要查询的字词:

 

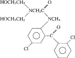
字词 度氯扎封
类别 中英文字词句释义及详细解析
释义 度氯扎封

C20H22Cl2N2O4=425.31

CAS-75616-02-3

2-[双-(2-羟乙基)氨基]-4′-氯-2′-(邻-氯苯甲酰)-N-甲基乙酰苯胺。

2-[bis-(2-Hydroxyethyl)amino]-4′-chloro-2′-(ochlorobenzoyl)-N-methylacetanilide.

抗焦虑药。

Dulozafone.

INN,USAN.

随便看

 

离鸟网收录3541549条中英文词条,其功能与新华字典、现代汉语词典、牛津高阶英汉词典等各类中英文词典类似,基本涵盖了全部常用中英文字词句的读音、释义及用法,是语言学习和写作的有利工具。

 

Copyright © 2004-2024 vtrois.com All Rights Reserved
更新时间:2026/4/20 14:48:26