废物和用废物所生产的产品实现利润
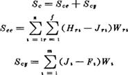
企业的废物和用废物生产的产品所实现的利润Sc就等于加工废物所生产的产品利润Sce与销售原生废物的利润 之和,即:  式中:Hri表示用i种废物生产的r种产品的单位出厂价格(元/单位);Jri表示用i种废物生产的r种产品的单位成本(元/单位);Wri表示用i种废物生产的r种产品的销售总量(按实物量计算);n表示可以作为产品生产原料的废物种类数;f表示废物综合利用产品类型数;Ji表示原生状态废物产生企业的i种废物的销售价格(元/单位);Fi表示企业内部的废物的初级加工、取出、收集、装载和运输费用(元/单位);Wi表示废物销售总量(按实物量计);m表示销售废物的种类数。 |