网站首页  词典首页


请输入您要查询的字词:

 

字词 应用机械能守恒定律解题的基本步骤
类别 中英文字词句释义及详细解析
释义 应用机械能守恒定律解题的基本步骤

1.合理地选取研究对象(一个系统),明确所要研究的物理过程,在解题一开始就写出来.

2.分析研究对象的受力情况,弄清各力的做功情况,判断在所研究的物理过程中机械能是否守恒.

3.选定零势能参考平面,确定系统在初末状态时的机械能.

4.根据机械能守恒定律列出方程,统一单位,代入数据,求解结果.

例1 如图,一光滑斜面与半径为R的光滑圆形轨道相连,一小球在A点从静止开始沿斜面下滑而进入圆形轨道做圆运动.A点的竖直高度至少为多少,小球才能在竖直圆形轨道上完成圆周运动.

分析 小球在运动过程中,轨道对小球的弹力作用始终与小球运动方向垂直,故不对小球做功,所以整个过程只有重力做功,机械能守恒.小球从起始位置A运动到圆周顶点B的过程中,重力势能的减少等于动能的增加,因此,A的竖直高度h越大,小球到达B时的速度v就越大,h与v有对应的函数关系而竖直面上圆周运动规律告诉我们,小球到达B点时的速度有一最小值,这一速度的最小值所对应的高度h即为所求.

解 以圆周最高点做参考面,依机械能守恒有:mg(h—2R)=1/2mv2. (1)

对小球到达B点时进行分析且依牛顿第二定律有:显然v越大N越小,当N=0时,v取最小值∴(2)

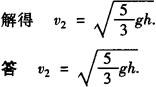
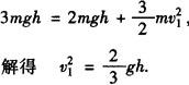
例2 如图所示,质量均为m的小球A、B、C,用长为l的细线相连,置于高为h的光滑水平桌面上,l>h,A球刚跨过桌边,若A球、B球相继下落著地后不再反跳,则C球离开桌边时速度大小是__.

分析 A下落过程中,重力做功,重力势能转化成三个球的动能;B下落过程中,重力做功,使B、C两球的动能增加,这两个过程机械能守恒.

解 先以地球和三个小球组成的系统作为研究对象,Ep0=3mgh,Ek0=0,Ept=2mgh,,其中v1为A落地时,三球运动的共同速率,系统机械能守恒:

A落地后,研究对象变为由地球及B、C两球组成的物体系统,E′p0=2mgh,,E′pt=mgh,.其中v2为B球落地时,B、C两球具有的速率,也就是C球离开桌边时的速率,新的系统机械能也守恒;2mgh

随便看

 

离鸟网收录3541549条中英文词条,其功能与新华字典、现代汉语词典、牛津高阶英汉词典等各类中英文词典类似,基本涵盖了全部常用中英文字词句的读音、释义及用法,是语言学习和写作的有利工具。

 

Copyright © 2004-2024 vtrois.com All Rights Reserved
更新时间:2026/4/18 15:24:39