网站首页  词典首页


请输入您要查询的字词:

 

字词 库马霉素
类别 中英文字词句释义及详细解析
释义 库马霉素

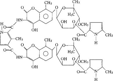
C55H59N5O20=1110.09

CAS-4434-05-3

(5-甲基吡咯-2-羧酸)二酯与3,3′-[(3-甲基吡咯-2,4-二基)双(羰基亚胺基)]双[4-羟基-8-甲基-7-[(四氢-3,4-二羟基-5-甲氧基-6,6-二甲基吡喃-2-基)氧]香豆素]。

5-Methylpyrrole-2-carboxylic acid,diester with 3,3′-[(3-methylpyrrole-2,4-diyl)bis(carbonylimino)]bis-[4-hydlroxy-8-methyl-7-[(tetrahydro-3,4-dihydroxy-5-methoxy-6,6-dimethyrpylan-2-yl)oxy]coumarin].

抗生素类药。

香豆霉素。

Coumermycin,Coumamycin.

INN(Coumamycin),NFN,USAN.

随便看

 

离鸟网收录3541549条中英文词条,其功能与新华字典、现代汉语词典、牛津高阶英汉词典等各类中英文词典类似,基本涵盖了全部常用中英文字词句的读音、释义及用法,是语言学习和写作的有利工具。

 

Copyright © 2004-2024 vtrois.com All Rights Reserved
更新时间:2026/4/17 17:15:19