网站首页  词典首页


请输入您要查询的字词:

 

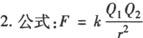
字词 库仑定律
类别 中英文字词句释义及详细解析
释义 库仑定律

1.内容:在真空中两个点电荷间的作用力跟它们的电量的乘积成正比,跟它们之间距离的平方成反比,作用力的方向在它们的连线上.

F叫库仑力(静电力),k为静电力常量:k=9.0×109N·m2/C2

3.适用条件:
❶ 真空中.❷ 点电荷,即带电体的线度远小于电荷间的距离r时,带电体的形状和大小对相互作用力的影响可忽略不计,可看作点电荷.

如果两个带电体是均匀带电球体,那么距离r是指两球心连线间距离.例如:半径为r的金属球如图所示放置.使两球边缘相距r,今使两球带上等量异种电荷Q,设两电荷Q间的库仑力大小为F,则比较F与的关系?

显然,两球心间距3r不远大于r,故不能当点电荷处理,即库仑定律不适用;实际上,由于异种电荷相吸,使电荷分布在两球靠近的球面处,这样两部分电荷间距实际小于3r,所以,,同理,若两球带同种电荷Q,则

4.在使用公式时,Q1,Q2均只代入其绝对值,因为若将电量的正、负号代入公式,计算得到F的正、负只代表这个力是斥力还是引力,容易与表示力的方向的正负相混.

5.不能单纯从数学意义上理解F=,以为r→0时,便可得到F为无穷大了,事实上,当r→0时,带电体便不能看作点电荷,公式也就不再适用了.

例 两个半径为r的相同的金属球分别带上异种电荷,已知q1=3q2,两球心相距为10r,其相互作用力为F1.现将两球接触后分开,再放回原来的位置,这时两球间的相互作用力为F2,则( ).

分析 根据题意两球接触后分开,各球带q2的同种电荷,根据同种电荷相互排斥,异种电荷互相吸引的性质,当两球带异种电荷时,两球表面所带电荷的“等效中心”位置之间的距离必大于10r,如果能够近似地运用库仑定律来讨论,则F2必定小于1/3F1,故应选D.

答 D.

随便看

 

离鸟网收录3541549条中英文词条,其功能与新华字典、现代汉语词典、牛津高阶英汉词典等各类中英文词典类似,基本涵盖了全部常用中英文字词句的读音、释义及用法,是语言学习和写作的有利工具。

 

Copyright © 2004-2024 vtrois.com All Rights Reserved
更新时间:2026/4/21 19:03:13