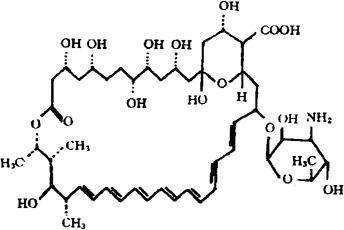
庐山霉素[中]
C47H73NO17=924.09 CAS-1397-89-3 33-[(3-氨基-3,6-二去氧-β-D-吡喃甘露糖基)氧]-1,3,5,6,9,11,17,37-八羟-15,16,18-三甲基-13-氧代-14,39-二氧二环-[33,3,1]-三十九碳-19,21,23,25,27,29,31-庚烯-36-羧酸。 33-[(Amino-3,6-dideoxy-β-D-mannlopyranosyl)oxy]-1,3,5,6,9,11,17,37-octahydroxy-15,16,18-trimethyl-13-oxo-14,39-dioxabicyclo[33.3.1]-nona-triaconta-19,21,23,25,27,29,31-heptaene-36-carboxylic acid. 抗生素类药。用于抗真菌感染,霉菌性阴道炎。 临床使用为庐山霉素去氧胆酸钠的复盐。 Amphotericin B,Amphotericin. INN,BAN,BP,DCF,DCIT,IP,JP,NFN,US.AN,USP,MI. 
|