序贯统计推断方法
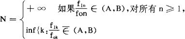
简称序贯方法,是瓦尔德等人在第二次世界大战期间发展起来的一种统计方法。 序贯方法与经典统计方法的相异之处在于,经典统计方法在抽样前就已确定了样本的容量,而序贯方法则不然,它需要根据一定的法则来确定连续的抽样何时停止,这法则称为停止法则,而由这个法则定义的停止抽样的时间称为停时。 序贯方法实际上是经典统计方法在随机变量序列上的连续运用,内容主要包括序贯点估计,序贯检验和序贯区间估计。下面以瓦尔德在1943年提出的序贯概率比检验为例,来说明序贯方法的一般程序。 设(x1,x2,…,xn)~fn,n≥1, Ho∶fn=fon,H1∶fn=f1n。 首先定义停时No设有A,B,O 令  这样就可以进行抽样进行序贯概率比检验了。  相应的两类错误概率分别为: , ,可以根据α,β的定义得到α,β与A,B之间的近似关系。 这样,只要α,β(或A,B)给定,则整个检验(包括抽样过程)就完全确定。 序贯方法与经典方法相比有许多显著的优点。 (1)序贯方法比经典方法节省试验次数,瓦尔德曾证明,序贯概率比检验可以比经典的似然比检验节省50%的样本而达到同样的水平。 (2)可以使统计判决达到预定的精度,而样本容量固定的经典方法则很难做到这点。 总之,序贯方法可以在一定最优准则下,达到经典方法难以达到的最优化。 |