网站首页  词典首页


请输入您要查询的字词:

 

字词 序时平均数
类别 中英文字词句释义及详细解析
释义 序时平均数

指动态数列中各个时期或时点指标的平均数。

分为时期数列的序时平均数和时点序列的序时平均数。其计算公式为:

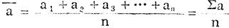
(1)时期数列的序时平均数:

(2)时点数列的序时平均数:

公式中a为序时平均数,a1,a,a3,…,a分别代表时期数列和时点数列中各种指标。

n为项数,∑为总计符号。序时平均数反映事物现象在一段时间内的一般水平,利用它可以说明事物现象发展变化的基本趋势及其规律性。

随便看

 

离鸟网收录3541549条中英文词条,其功能与新华字典、现代汉语词典、牛津高阶英汉词典等各类中英文词典类似,基本涵盖了全部常用中英文字词句的读音、释义及用法,是语言学习和写作的有利工具。

 

Copyright © 2004-2024 vtrois.com All Rights Reserved
更新时间:2026/4/19 23:10:44