网站首页  词典首页


请输入您要查询的字词:

 

字词 平衡型与非平衡型机械密封的确定
类别 中英文字词句释义及详细解析
释义 平衡型与非平衡型机械密封的确定

[说明]机械密封的正常工作,取决于动环和静环问适当的比压。即摩擦副接触面单位面积上压力的大小。比压过小,易于造成泄漏;比压过大,则会造成接触面间液膜破裂、磨损加剧和功率增加。根据介质压力在端面上所引起的比压的卸载与否,可以分为平衡型和非平衡型两类。不卸载荷的称非平衡型,卸荷的称平衡型。

1.内装式密封作用在端面上的比压计算

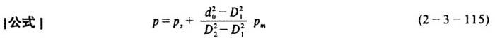
[说明]如图2-3-20所示,不计摩擦副间反压力及密封圈摩擦力时,作用在端面上的比压可用下式计算。

式中符号含义及单位同上及图2-3-21

ke为外装式载荷系数。当ke>1时为非平衡型;0<ke<1时为部分平衡型;ke≤0时为全平衡型。

随便看

 

离鸟网收录3541549条中英文词条,其功能与新华字典、现代汉语词典、牛津高阶英汉词典等各类中英文词典类似,基本涵盖了全部常用中英文字词句的读音、释义及用法,是语言学习和写作的有利工具。

 

Copyright © 2004-2024 vtrois.com All Rights Reserved
更新时间:2026/4/20 21:52:41