网站首页  词典首页


请输入您要查询的字词:

 

字词 平衡与预算乘数
类别 中英文字词句释义及详细解析
释义 平衡与预算乘数

当政府支出和税收的变化保持相等时实际收入的变化与政府支出变化之间的比率。

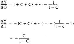
如果用△Y表示收入变动量、△G表示政府支出的变动量、△T表示税收变动量、C表示边际消费倾向,则政府支出的乘数公式和税收的乘数公式可以分别写成以下形式,即

两者所以不同,是因为税收不减少初始总收入,故而其对总收入的影响仅为C+C2+…,而增加政府支出,其对总收入的影响包括这笔支出本身。另外,应为负值,从两式来看,不管边际消费倾向C的数值大小,政府支出乘数绝对值总要比税收乘数绝对值大。换句话说,政府支出乘数和税收乘数之和总是等于1。因此,只要政府支出的数额与税收的数额等量变动,由此而导致的均衡的国民收入水平的上升或下降就等于政府预算(或支出总额)增加或减少的数额。

由于平衡预算的乘数等于1,因而又被称作单一乘数。

等量地增加税收和政府支出没有使均衡的收入水平保持不变,反而使其能够等量地增加,其道理在于增加税收的收缩效应少于等量增加政府支出的扩张效应。政府支出的增加从总体上看是总支出的增加;而税收的增加并不直接是总支出的减少(仅是个人收入转为政府收入和支出)。而且税收增加的一部分要被储蓄的减少所吸收,而其余的部分才被消费的减少所吸收,从而间接引起总支出的减少。

而这个间接影响又为增加等量政府支出的间接扩张影响所抵消。

从平衡预算乘数原理直接引申出来的政策含义是,一旦经济的产量低于充分就业水平,政府可以适当扩大其预算使产量提高到充分就业水平,无需诉诸赤字财政政策。尽管实际效应受多重因素影响和制约,从而收入水平不一定保持与预算规模等量地增加,但预算规模的提高对收入水平的增长影响是无疑的。

随便看

 

离鸟网收录3541549条中英文词条,其功能与新华字典、现代汉语词典、牛津高阶英汉词典等各类中英文词典类似,基本涵盖了全部常用中英文字词句的读音、释义及用法,是语言学习和写作的有利工具。

 

Copyright © 2004-2024 vtrois.com All Rights Reserved
更新时间:2026/4/21 15:16:07