网站首页  词典首页


请输入您要查询的字词:

 

字词 平行板电容器
类别 中英文字词句释义及详细解析
释义 平行板电容器

1.平行板电容器.

(1)两个正对的平行金属板中间夹上一层电介质,就组成一个平行板电容器.

(2)平行板电容器充电后,两极板分别带上异种电荷,极板间就形成匀强电场(除边缘附近外),场强方向由正极板指向负极板.电荷均匀地分布在极板上,场强的大小与极板上电荷的密度成正比,即电荷的密度越大,场强越大.

(3)平行板电容器的电容公式.

理论和实验表明:平行板电容器的电容C跟介电常数ε成正比,跟正对面积S成正比,跟极板间距离d成反比.

2.平行板电容器涉及到的两类问题

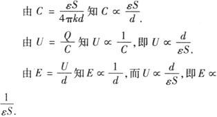
(1)平行板电容器充电后,不切断电源,U不变,当电容器结构d,S,ε变化时,将引起电容器的C,Q,E怎样变化?

可根据下列几式讨论:(只提供分析程序,结论不必记住)

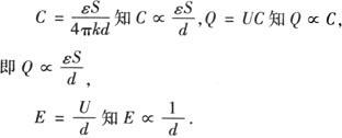
(2)平行板电容器充电后,若切断电源,则电容器极板上的电荷量Q不变,当电容器的结构d、S,ε发生变化时,将引起电容器的C,Q,E怎样变化?

这类问题可根据下列几式进行讨论:(只提供分析程序,结论不必记住)

例 平行板电容器充电后与电源断开,负极板接地,在两极板间有一正电荷(电量很小)固定在P点,如图所示,以E表示两极板间的电场强度,U表示电容器两极间的电压,W表示正电荷在P点的电势能,若保持负极板不动,将正极板移到图中虚线所示的位置,则( ).

A.U变小,E不变

B.E变小,W变大

C.U变小,W不变

D.U不变,W不变

分析 由题意可知电容器充电后与电源断开,所带电量Q不变,由于极板间距离减小,电容C增大.

可知,极板间电压U减小,所以用排除法可知,本题只有D答案肯定不正确;再由判断电场强度,由于U变小,而距离d也减小,所以无法得知E如何变化,根据,得,再由,由于为不变的常数,所以E由决定,而Q及S在本题中都不变,所以E不变,由上面的等式可以看出,在板间电介质不变的情况下,E由正对面积上的电荷面密度决定,这个结论虽是考纲外的公式推导出来的,掌握这个易得到结论,能对解决有关平行板电容器的问题带来方便,E不变,P点与负极板间的距离不变,即P点的电势φp不变,那么正电荷的电势能W=qφp就不变,综上所述可知A、C选项正确.

答 A、C.

随便看

 

离鸟网收录3541549条中英文词条,其功能与新华字典、现代汉语词典、牛津高阶英汉词典等各类中英文词典类似,基本涵盖了全部常用中英文字词句的读音、释义及用法,是语言学习和写作的有利工具。

 

Copyright © 2004-2024 vtrois.com All Rights Reserved
更新时间:2026/4/21 13:11:44