网站首页  词典首页


请输入您要查询的字词:

 

字词 平移公式
类别 中英文字词句释义及详细解析
释义 平移公式

若点P(x,y)按向量a=(h,k)平移后得到P′(x′,y′),则

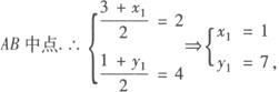
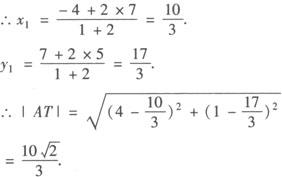
例1 △ABC中,A(4,1),B(7,5),C(—4,7),求∠A平分线的长.

解 设∠A的平分线交BC于T(x1,y1)由内角平分线定理知

例2 已知平面上,四点A(1,2),B(5,8),C(—2,6),D(a,b)求当四边形ABCD为凸四边形且BD平分AC时,实数a、b应满足的充要条件.

解 设直线AC和直线BD相交于P,则点P分所成的比为λ1=1,又设点P分所成的比为λ.则四边形ABCD为凸四边形且BD平分AC的充要条件是λ>0.

由中点坐标公式知点P的坐标为P(—1/2,4)由点P分所成的比为λ,知

故实数a、b满足的充要条件为8a—11b+48=0且a<—1/2,b<4.

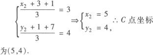
例3 在△ABC中,已知顶点A的坐标为(3,1),AB的中点为D(2,4),△ABC的重心为G(3,4),求顶点B、C的坐标.

解 设B点坐标为(x1,y1),则因为D为

∴B点坐标为(1,7).设C(x2,y2),由题意得

随便看

 

离鸟网收录3541549条中英文词条,其功能与新华字典、现代汉语词典、牛津高阶英汉词典等各类中英文词典类似,基本涵盖了全部常用中英文字词句的读音、释义及用法,是语言学习和写作的有利工具。

 

Copyright © 2004-2024 vtrois.com All Rights Reserved
更新时间:2026/4/20 18:12:53