网站首页  词典首页


请输入您要查询的字词:

 

字词 平方根的性质
类别 中英文字词句释义及详细解析
释义 平方根的性质

1.一个正数有两个平方根.

2.0只有一个平方根,它是0本身.

3.负数没有平方根.

注意 1.平方根包含算术平方根,算术平方根是平方根中的一个.

2.只有非负数才有平方根和算术平方根

3.0的平方根和算术平方根都是0.

4.一个正数有两个平方根,而一个正数的算术平方根只有一个.

5.正数a的平方根表示为±,正数a的算术平方根表示为

6.正数的算术平方根,一定是正数,而正数的平方根则一正一负,且它们互为相反数.

7.负数没有平方根,也没有算术平方根.

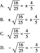
例1 计算“16/25的平方根”正确的是( ).

答 B.

[解析] 正数的平方根有两个,表示为±的形式.

例2 如果一个正数的平方根为2a-7和a+4,求这个正数.

解 由题意得,(2a-7)+(a+4)=0.

所以a=1,此时2a-7=-5,a+4=5.

而(-5)2=52=25,所以这个正数是25.

[解析] 由平方根的意义,“一个正数的平方根有两个,它们互为相反数”,故可依此求出a的值,进而求出原来的正数.

例3 下列说法正确的是( ).

A.36的平方根是6

B.16的算术平方根是±4

C.

D.

答 D.

[解析] A错在正数36的平方根有两个它们是±6;

B错在正数16的算术平方根有一个是+4;

C错在负数没有平方根和算术平方根.

例4 的平方根是__,算术平方根是__,的平方根是__,算术平方根是__.

答 ±,±7,7.

[解析] 本身等于7,本身等于49.

注意分清到底是求哪个数的平方根或算术平方根.

例5 当x__时,有意义.

答 ≥1/2.

[解析] 正数和0都有算术平方根,

故2x-1≥0即x≥1/2时,有意义.

随便看

 

离鸟网收录3541549条中英文词条,其功能与新华字典、现代汉语词典、牛津高阶英汉词典等各类中英文词典类似,基本涵盖了全部常用中英文字词句的读音、释义及用法,是语言学习和写作的有利工具。

 

Copyright © 2004-2024 vtrois.com All Rights Reserved
更新时间:2026/4/20 16:31:22