网站首页  词典首页


请输入您要查询的字词:

 

字词 平抛运动的规律
类别 中英文字词句释义及详细解析
释义 平抛运动的规律

1.以抛出点O为坐标原点,水平初速度v0的方向为x轴正方向,竖直向下的方向为y轴正方向,建立直角坐标系如图所示.

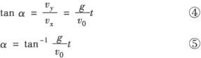
2.任一时刻t的速度v

水平分速度 vx=v0(恒矢量) ❶ 

竖直分速度 vy=gt❷ 

实际(合)速度v的大小

方向与水平方向成α角斜向下

由❸ ❺ 式可知,平抛运动瞬时速度v的大小和方向都是时刻改变著的.

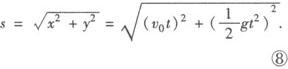
3.任一时刻t的位移s:

水平分位移x=v0t,
❻ 

竖直分位移y=1/2gt2.❼ 

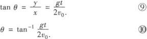
实际(合)位移s的大小

方向与水平方向成θ,解如下:

由❽ ❿ 式可知,平抛运动相对抛出点的位移s的大小和方向都是时刻改变著的.

随便看

 

离鸟网收录3541549条中英文词条,其功能与新华字典、现代汉语词典、牛津高阶英汉词典等各类中英文词典类似,基本涵盖了全部常用中英文字词句的读音、释义及用法,是语言学习和写作的有利工具。

 

Copyright © 2004-2024 vtrois.com All Rights Reserved
更新时间:2026/4/21 9:52:32