网站首页  词典首页


请输入您要查询的字词:

 

字词 平均声压级的合成计算
类别 中英文字词句释义及详细解析
释义 平均声压级的合成计算

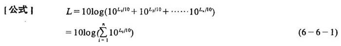
[说明]若有L1、L2……Lnn个声压级,其合成声压级并不等于n个声音的声压级之和,而是和对数规律相同,其合成声压级用下式计算。

式中 Li——第i级的平均声压级(分贝)

[例]求声压级为91、85、87分贝的三个噪声合成声压级。

随便看

 

离鸟网收录3541549条中英文词条,其功能与新华字典、现代汉语词典、牛津高阶英汉词典等各类中英文词典类似,基本涵盖了全部常用中英文字词句的读音、释义及用法,是语言学习和写作的有利工具。

 

Copyright © 2004-2024 vtrois.com All Rights Reserved
更新时间:2026/4/21 21:13:04