网站首页  词典首页


请输入您要查询的字词:

 

字词 平均发展水平
类别 中英文字词句释义及详细解析
释义 平均发展水平

又叫序时平均数。它是时间数列中的各项指标在时间上的平均数,反映现象在一段时期的一般水平。计算方法是,根据时期数和每日时点数计算时,采用简单算术平均法,算式为:;根据时点数计算,如各时点间隔相等时,一般采用下式计算:

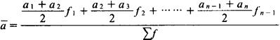
如各时点间隔不等,则采用下式计算:

如根据相对数或平均数时间数列求序时平均数,应先求构成这个相对数或平均数时间数列的两个绝对数时间数列的序时平均数,然后将两个序时平均数对比,其算式为:

随便看

 

离鸟网收录3541549条中英文词条,其功能与新华字典、现代汉语词典、牛津高阶英汉词典等各类中英文词典类似,基本涵盖了全部常用中英文字词句的读音、释义及用法,是语言学习和写作的有利工具。

 

Copyright © 2004-2024 vtrois.com All Rights Reserved
更新时间:2026/4/21 6:05:40