网站首页  词典首页


请输入您要查询的字词:

 

字词 平均人口数
类别 中英文字词句释义及详细解析
释义 平均人口数

一定时期内,各个时点的人口的平均数。

它代表计算期内任一时点的人口数,反映计算期(如月、季、年或若干年)内人口发展的平均规模。

平均人口数是计算出生率、死亡率、自然增长率和平均每人国民收入、平均每人产值和产量等指标的基础数据。

实际工作中计算平均人口数,一般是根据已掌握的时点数字计算平均人口数的近似值。

根据掌握的资料和计算的要求不同,可采用以下几种不同方法计算平均人口数:

1.在只掌握期初、期末人口数时,可按简单算术平均数方法计算。

即:

在实际工作中,也可用期中人口数代替期内平均人口数。

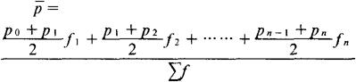
2.在已知某时期内若干时点的人口数时,可用序时平均数计算平均人口数。

式中:为平均人口数;

P1P2P3…Pn为各时点的人口数;

n为时间间隔数。

上式为各时点间隔时间相等的计算方法,如各时点间隔时间不等,需用间隔时间加权计算。

即:

式中f1f2…fn为间隔时间权数。

3.在计算时间较长,该时期人口数又是按一定比例递增(减)时,可用几何级数计算。

(1)将各年人口数相乘、然后以年数为次数进行开方。

(2)用期末人口数减期初人口数作分子,用期末人口数的自然对数与期初人口数的自然对数之差作分母,相除后得平均人口数。

即:

换成常用对数式:

随便看

 

离鸟网收录3541549条中英文词条,其功能与新华字典、现代汉语词典、牛津高阶英汉词典等各类中英文词典类似,基本涵盖了全部常用中英文字词句的读音、释义及用法,是语言学习和写作的有利工具。

 

Copyright © 2004-2024 vtrois.com All Rights Reserved
更新时间:2026/4/21 5:43:18