网站首页  词典首页


请输入您要查询的字词:

 

字词 平均世代间隔
类别 中英文字词句释义及详细解析
释义 平均世代间隔

某一代母亲生育女儿时的平均年龄。

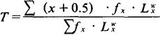
或者说,女儿一代比母亲一代平均小多少岁。也可称为平均世代长度。其计算公式如下:

式中T为平均世代间隔,x代表母亲生每个女儿时的周岁年龄,(x+0.5)为各年龄组妇女平均年龄,fx为各年龄的生育率,为女性生命表中的各年龄生存率。

平均世代间隔的长短,一般说与结婚、生育早晚有关,结婚、生育越早,平均世代间隔也越短。但是,如果一方面早婚早育,另一方面生育不加限制,到育龄后期还在生育,计算出来的世代间隔也可能较长。所以,平均世代间隔指标必须与净再生产率指标结合使用,才能更全面地反映人口再生产状况。

随便看

 

离鸟网收录3541549条中英文词条,其功能与新华字典、现代汉语词典、牛津高阶英汉词典等各类中英文词典类似,基本涵盖了全部常用中英文字词句的读音、释义及用法,是语言学习和写作的有利工具。

 

Copyright © 2004-2024 vtrois.com All Rights Reserved
更新时间:2026/4/21 5:41:26