网站首页  词典首页


请输入您要查询的字词:

 

字词 干燥设备
类别 中英文字词句释义及详细解析
释义 干燥设备

1.干燥的目的

涂布纸干燥的目的可概述为两个方面:

(1)除去涂料中多余的水分,使涂层产生固化并形成一层功能性的表面。

(2)使涂料中的化学组分产生应有的抗水性能和成膜性能,为使涂布纸进入压光机或最终加工工序,如印刷适性、包装外观等具有适当的条件。由于涂布后纸或纸板涂层中含有30%~45%的水分,要除去这些水分的途径只有一条,即干燥使水蒸发。

2.干燥的机理

涂布纸的干燥过程是能量传递和物质传递的复合过程。能量传递指的是热能从高温处向低温处的流动,通常有三种不同的方法,即传质、对流和辐射。传质指的是物质或分子从高浓处向低浓处的流动,涂布纸干燥的传质过程包括液态水从湿纸幅中蒸发出来和把蒸发出来的水蒸气移送出去。传热和传质决定了干燥过程进行的速度,即干燥速率。涂布纸的干燥速率可分成三个阶段如图4-65所示。预热阶段,为加速干燥速率曲线部分,输入的能量主要是为了加热原纸、涂料和附带的水分到明显蒸发的温度点。通常发生明显蒸发时的表面湿球温度是72℃。恒定蒸发阶段,为恒定干燥速率曲线部分,它是干燥的主要阶段。输入的热能主要是使加热的原纸,涂料和附带的水分蒸发。由于水分的蒸发和冷却作用,纸页的温度保持恒定。这个温度大小,取决于不同的纸种。通常进入干燥系统的涂布纸水分越低,由于水分蒸发时吸收的汽化潜热相应减小而使干燥时纸页的温度越高,一般范围是80~150℃。降速阶段,是降速干燥速率曲线部分,这时的涂布纸已达到一定的干度,进一步除去水分的阻力增大,输入的能量除进一步提高纸的干度外,同时也使纸页的温度继续升高,这时必须控制合适的能量输入,因为纸页温度的过分升高会危及纸的产品质量。

3.干燥设备

涂布机的干燥器不仅仅是一个加热装置,虽然加热是它的主要功能。除此之外,它还必须能把产生的水蒸气排出干燥器。实现第二个功能与第一个功能是同等重要的,因为干燥本身就是一个传热和传质的过程。涂布纸干燥时,湿涂层的表面是一层空气、其它气体、水蒸气层,这一层既是热能传递进入纸内的障碍,也是产生的水蒸气逸散的障碍。干燥器设计的很大部分考虑就是针对这个问题,即穿透这层障碍,并把产生的水蒸气带出,以提高干燥效率。

1)烘缸干燥器

烘缸干燥是以蒸汽传导方式传热,空气对流方式传质的过程。烘缸又称接触式干燥器或传导式干燥器,图4-66所示普通式烘缸干燥器,图4-67为热风气罩式杨克烘缸干燥器。

烘缸干燥器的特点如下:

(1)干燥过程中,支撑纸幅,减少松弛性拉力,并降低张力。

(2)纸页在平整的烘缸表面干燥,降低了纸幅的应力折皱和卷曲现象。

(3)接触式干燥是一种非常有效的热传导干燥方式。

(4)由蒸汽的潜热提供干燥能量是一条经济有效的途径。

(5)容易引纸和断纸处理。

标准型普通烘缸的直径一般为1500mm或1800mm,限定承受压力200~800kPa。烘缸的蒸发速率在2.5~20kg水/(m2·h)范围。在涂布纸干燥中,当涂层表面干度已达到不粘缸时,可以使用烘缸进行干燥,常用的蒸发速率为6~8.5kg水/(m2·h),其总蒸发能力按烘缸的周长来计算。一直径为1500mm的烘缸,蒸汽压力为135~240kPa时,其蒸发能力可达28~40kg水/(m宽·h)。

杨克烘缸的直径一般为3500~6000mm,它除了具有普通烘缸传导加热的功能外,还具有利用高速热风气罩对流传热的特点。一般来讲,气流速度的划分为:低速0~25m/s;中速25~50m/s,高速50~76m/s;超高速76m/s以上。同样温度的划分为:低温90~160℃,高温160℃以上。高速热风气罩的气流速度为50~60m/s,温度为150~315℃,干燥速率为35~95kg水/(m2·h)。热风气罩的剖面结构见图4-68。热风气罩的喷嘴之间距离为19~ 25mm。喷嘴与纸页之间的间隙为3~12mm,喷嘴开度0.64mm。

图4-69为烘缸干燥器的排列示意图。为了防止涂布后表面的湿涂料粘缸,一般要求第1、2烘缸表面具有防粘涂层或者采用非接触型干燥器,如红外干燥或热风气垫式干燥。作为常规来讲,含有磨木浆的涂布纸干燥,采用20%~25%的非接触型干燥就可以了,对于不含磨木浆的涂布纸干燥,需要采用40%~45%的非接触型干燥。

烘缸干燥蒸发水量的计算

W=W×V×60×(R1—R2)

式中 W——单位时间内每米纸幅宽度所蒸发的水量,kg水/(h·m)

W——涂布量,kg/m2

V——车速,m/min

R1——进干燥器时涂料中的水与固体的比例

R——出干燥器时涂料中的水与固体的比例

干燥烘缸数量的计算:

(2)拱式热风干燥器,如图4-71所示。

(3)气垫式热风干燥器,如图4-72所示。

气垫式干燥器是一种不接触型干燥设备,它可以单侧布置,也可以双侧布置。从各种干燥性能的测定和归纳来看,采用双侧布置比单侧布置的气垫式干燥器对涂布纸干燥的质量要好,同时还可增加产量。双侧布置的气垫干燥器有两种形式:对应排列和交错排列,如图4-73所示。气垫干燥喷嘴的形式有气浮式和气翼式两种。

气浮式如图4-74所示。喷嘴是对称交错布置的,干燥空气从喷嘴的两侧喷出,由于“附壁效应”,横向气流给纸页摩擦作用,以达到最佳的热和质的传递,同时支撑纸幅在某一位置。这种特殊设计的喷嘴几何形状,使纸幅在最佳的运行性能下达到最大的热交换,纸幅以正弦波形式穿过气垫箱,这样就能防止皱褶和卷曲,获得最佳的运行稳定性。

气翼式如图4-75所示。干燥空气从喷嘴一侧喷出后随纸一起运行,由于“附壁效应”,使纸幅定位在离喷嘴一定距离,这种喷嘴给纸幅极佳的稳定性和较广范的干燥能力,适用于低定量涂布纸干燥,也可用于一侧无承托的干燥布置。气垫干燥的空气循环是通过循环风机抽吸穿过蒸汽蛇管的干燥空气,再把它吹送到气垫箱内完成的。代表性的空气循环系统见图4- 76,空气循环系统主要由以下几个主要部分组成:循环风机,它决定了喷送干燥空气的体积量,而这个体积量取决于喷嘴的开口和所需的喷送速度;换热器,供气系统可以利用许多种热源来加热循环空气,最常见的是用高压蒸汽蛇管,它可将干燥空气加热至最高达200℃的温度;排风机,它可以排放一定数量的湿热空气,通常比例不超过25%~30%。

3)红外干燥器

这是一种采用辐射原理设计的干燥设备。红外光谱的范围为0.7~1000μm,但能有效用于干燥的波长范围为0.7~11μm,一般又分近红外(0.7~3μm)、中红外(3~6μm)、远红外(6~11μm)。由于红外线是一种发射电磁波的不可见光线,其周波数因为与构造质的分子固有振动频率在同一范围,当用红外线对物质进行照射时,引起电磁的共振,其热能可被有效地吸收。作为红外线发生源,在工业上一般有燃气或电能两种装置,如图4-77所示。通常红外辐射设备发出的辐射波长最小为0.7~1.0μm,并扩展至波长为8μm的热能,由于水不能被红外辐射所穿透,故可将它吸收后达到本身被加热的目的。液态水尤易于吸收波长为2.5~3.3μm的红外线,对应的发射温度约为870~600℃范围。无论以燃气加热或以电力加热的红外干燥器,其温度均按加热强度来控制。为获得有效的干燥操作,对发射波长在中波频带的红外辐射器,其所需功率负荷为40~50kW/(m2·h)可达到的发射温度为800~950℃。在涂布纸干燥工艺中采用的燃气加热红外干燥器的发射温度为340~1100℃,电力加热红外干燥器的发射温度为340~2200℃。红外干燥器必须配备一套强制对流通风系统,以除去由一层热汽形成的附面层,并将纸页表面的蒸发水汽排出,以提高干燥能力。用红外干燥系统所能获得的蒸发速率约在45至90kg水/(m2·h)之间。最大蒸发速率可达到150kg水/(m2·h)。表4-9为电力加热与燃气加热红外干燥器的性能比较。

表4-9 电力加热与燃气加热红外干燥器的性能比较

(1)红外干燥器具有设计紧凑和高能量输出的特点,紧靠在涂布头之后,其效果较佳。当表面水膜还未遭干燥气流的过大干扰时,涂料中的大量水分能有效吸收红外线的辐射能量,这会使水与纸幅的温度一起升高,而不致使涂层表面失水所引起局部表面过快干燥所引起的结皮弊病。

(2)气浮式干燥具有非接触性干燥的特点,使得涂布纸页在进入下阶段接触性干燥的烘缸之前能被有效地控制其蒸发速率。

(3)烘缸干燥器具有接触性干燥的优点,使得纸页的外观改善和张力得到控制。

2)干燥器的计算实例一

参数

纸幅定量(WT) 100g/m2,含5%水分

涂布量(Wc) 10g/m2

涂料固含量(Cs) 62%

涂布机车速(V) 670m/min

红外干燥负荷 将涂料干度从62%干燥到72%

气流干燥负荷 将涂料干度从72%干燥到92%

烘缸干燥负荷 将涂料干度从92%干燥到96%

基本计算公式

(1)每干燥单元水蒸发负荷量计算:

Ev=Wc×V×60×(R1—R2)

式中 Ev——单位时间内每米纸幅宽度所蒸发的水量,kg水/(h·m)

Wc——涂布量,g/m 2

V——车速,m/min

R1——进入干燥器时涂料中水与固含量的比例

R2——出干燥器时涂料中水与固含量的比例

(2)加热负荷量计算:

式中 Q——单位时间内每米纸幅宽度所需的能量,J/(h·m)

WT——纸页定量,g/m2

C——物质的比热容,J/(kg·F)

△T——温度升高值,F

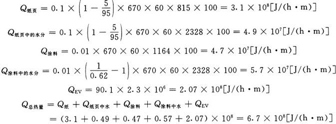
红外干燥器的计算:

步骤1:计算涂料固含量从62%提高至72%时,红外干燥器内所需蒸发的水量

步骤2:计算加搏荷

进入红外干燥器的纸页热能为2.27×108J/(h.m2)

纤维比热容=815J/(kg·F)

水的比热容=2328J/(kg·F)

涂料比热容=1164J/(kg·F)

水的汽化潜热=2.3×106J/kg

温度升高值△T=100F

步骤3:估算红外干燥器的长度

结论:选用总长度为3m的红外干燥器(1.5m/只×2只)。

气浮式干燥器的计算

气浮式干燥器的干燥速率为24.4kg水/(h.m2)。

步骤4:计算涂料固含量从72%提高至92%时所需蒸发的水量

步骤5:估算气浮干燥器的长度

结论:选用总长度为6m的气浮干燥器(2m/只×3只)。

蒸汽烘缸干燥器的计算

蒸汽烘缸干燥器的干燥速率为:2.44kg 水/(h·m2),设烘缸直径为1.2m。

步骤6:计算涂料固含量从92%提高至96%时,所需蒸发的水量,以及纸页从95%干度提高至96%时蒸发的水量。

步骤7:估算所需的烘缸数

结论:至少选用7只1.2m直径的蒸汽烘缸。

3) 干燥器的计算实例二

采用气刀涂布机,若涂布浓度为40%的涂料20g/m2(水分5%),求采用蒸发率为20kg水/(h·m2),有效长度为25m的气浮干燥器时的涂布机速度。

计算公式:

式中 E——蒸发率,kg水/(h·m2)

L——干燥器的有效长度,m

V——涂布机速度,m/min

Wc——涂布量,g/m2

p1——干燥后涂料中的水分含量,%

p2——干燥前涂料中的水分含量,%

步骤1:绝干涂布量=20×(1-0.05)=19(g/m2)

步骤2:湿涂布量=19÷0.4=47.5(g/m2)

步骤3:需蒸发水分=47.5-20=27.5(g/m2)

若涂料的浓度降低到35%,其蒸发水量WE为:

涂布机速度V则不能超过

【参考文献】:

(1) An Operator’s Guide to Aqueous Coating For Paper and Board.The British Paper and Board Industry Federation.1980,Section 7 Coating Equipment & Process.

(2) Pulp and Paper Manufacture.Third Edition,1990,Volume 8,Coating,Converting,and SpecialityProcess,Part One:Pigment Coating,Ⅱ Coating Machine,G.L.Booth.

(3) The Coating Process.TAPPI Press,1993,Chapter 3,Section 1~Ⅶ,Theodore C.Vanga etc.

(4) Web Processing and Coating Technology and Equipment,Van Nostrand Reinhold Comoany,1984,Donats Statas.

(5) 纸张涂布工程.新文化彩色印书馆(台湾),1980,郑腾雄。

(6) Handbook for Pulp & Paper Technologies,TAPPI & CPPA.1982,G.A.Smook.

(7) 瑞典BYGw公司设备样本。

(8) 意大利Boneffi Assiai公司涂布刮刀产品样本。

(9) 芬兰Valmet公司涂布机设备样本。

(10) 奥地利Volth公司涂布机设备样本。

(11) 德国Jagenberg公司涂布机设备样本。

(12) 美国Beloit公司涂布机设备样本。

随便看

 

离鸟网收录3541549条中英文词条,其功能与新华字典、现代汉语词典、牛津高阶英汉词典等各类中英文词典类似,基本涵盖了全部常用中英文字词句的读音、释义及用法,是语言学习和写作的有利工具。

 

Copyright © 2004-2024 vtrois.com All Rights Reserved
更新时间:2026/4/18 16:38:37