干燥前后物料的蒸发水量计算
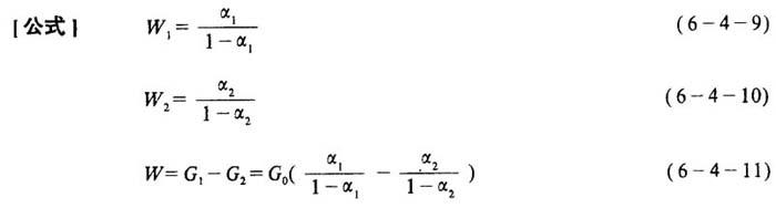
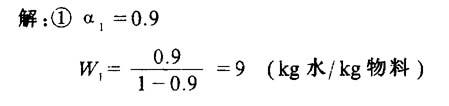
 式中 W1、W2——干燥前后每kg干燥物料的含水率(kg水/kg物料) W——总蒸发量(kg/kg物料) G——物料总重量(kg/kg物料) G0——绝干物料重量(kg/kg物料) α1、α2——干燥前后每kg湿润物料的水分(%) [例]假设物料的初始水分α1=0.9,则: ❶ 干燥1kg物料需除去多少水分; ❷ 若要把初始水分α1=0.85,初始含水率ω1=5.67的物料干燥到绝干程度,则干燥1kg物料少除去多少水分?少蒸发多少kg水?对初始水分来说,可以节省多少干燥量。  即干燥1kg物料就需除去9kg水分。 ❷ 干燥lkg物料则少除去的水分为: α1-α2=0.9-0.85=0.5 少蒸发水分为: W1-W2=9-5.67=3.33(kg水/kg物料) 对初始水分来说,可节省干燥量:  |