网站首页  词典首页


请输入您要查询的字词:

 

字词 干法除尘计算
类别 中英文字词句释义及详细解析
释义 干法除尘计算

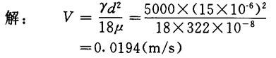
1.除尘室矿尘的沉降速度V

【说明】当气流处于层流状态时,矿尘的沉降速度可用Stokes定律计算。

【公式】

式中 V——沉降速度(m/s)

γ——矿尘的容重(kg/m3)

γ——炉气的容重(kg/m3)

d——矿尘颗粒的直径(m)

μ——炉气的粘度([(kg·s)/m2])

【例】当炉气的温度为400℃,炉气的粘度为0.0315cP[==322×10-8(kg·s)/m2],矿尘的容重为500kg/m3时,求直径为15μm的矿尘的理论沉降速度。

2.旋风除尘器的计算

【说明】旋风除尘器主要部分的尺寸用圆柱体内径的倍数来表示,设计时主要是求出圆柱体直径,计算顺序和公式见表1-3-15。

【公式】见表1-3-15。

表1-3-15 旋风除尘器计算公式

以上式中符号含义及单位如下:

V——被净化气体的体积流量(m3/s)

γ——炉气容重(kg/m3)

△P——除尘器的阻力(mmH2())

ξλ——以进口气速计的流体阻力系数

ξ——以圆柱体截面平均假气速计的流体阻力系数

W——圆柱体截面平均假气速(m/s)

Wλ——进口气速(m/s)

D——除尘器圆柱体内径(m)

α——入口宽为圆柱体内径的倍数

b——入口高为圆柱体内径的倍数

g——重力加速度(9.81m/s2)

At——进气口截面积(m2)

【附表】不同型号的旋风除尘器工艺参数见表1-3-16

表1-3-16 旋风除尘器工艺参数

随便看

 

离鸟网收录3541549条中英文词条,其功能与新华字典、现代汉语词典、牛津高阶英汉词典等各类中英文词典类似,基本涵盖了全部常用中英文字词句的读音、释义及用法,是语言学习和写作的有利工具。

 

Copyright © 2004-2024 vtrois.com All Rights Reserved
更新时间:2026/4/19 22:31:03