网站首页  词典首页


请输入您要查询的字词:

 

字词 常用精算符号
类别 中英文字词句释义及详细解析
释义 常用精算符号

寿险工作中常用的精算符号。主要有:

lx——x岁的生存人数。

qx——x岁的人在x+l岁之前死亡的概率

px+qx=l,qx=dx÷lx

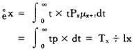
——x岁人的完全平均余命。

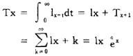
Tx——lx的人口于x岁以后生存的年数总和

lx——lx的人口自x岁到x+1岁为止生存的年数。

Ax——终身保险给付金的精算现值,也即终身寿险的趸缴纯保费。

——期初付终生年金现值,

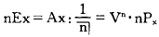
nEx——精算折现因子,在生存保险中,若于n年后得S元生存保险金,则需于n年前缴纳纯保费,Ax:,,即nEX

nPx——缴费期为n年的x岁终身寿险的纯保费。

——n年两全保险每期纯保费

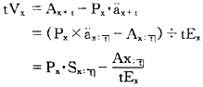
tVx——终身寿险第t年的准备金。

随便看

 

离鸟网收录3541549条中英文词条,其功能与新华字典、现代汉语词典、牛津高阶英汉词典等各类中英文词典类似,基本涵盖了全部常用中英文字词句的读音、释义及用法,是语言学习和写作的有利工具。

 

Copyright © 2004-2024 vtrois.com All Rights Reserved
更新时间:2026/4/21 4:08:34