网站首页  词典首页


请输入您要查询的字词:

 

字词 帕斯卡原理
类别 中英文字词句释义及详细解析
释义 帕斯卡原理

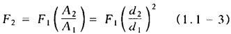
施加在静止液体任一点的压力,将以同等大小向液体所有方向传递,这就是帕斯卡原理。各类液压机的工作原理就是该原理的工程应用。如图1.1-2所示,加于小柱塞上的力F1,若不计重力及摩擦力时,依帕斯卡原理可获得大柱塞上较大的出力F2

随便看

 

离鸟网收录3541549条中英文词条,其功能与新华字典、现代汉语词典、牛津高阶英汉词典等各类中英文词典类似,基本涵盖了全部常用中英文字词句的读音、释义及用法,是语言学习和写作的有利工具。

 

Copyright © 2004-2024 vtrois.com All Rights Reserved
更新时间:2026/4/21 8:03:13