网站首页  词典首页


请输入您要查询的字词:

 

字词 帕地洛
类别 中英文字词句释义及详细解析
释义 帕地洛

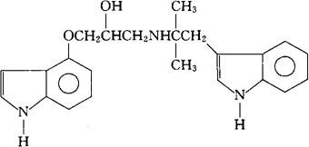
C23H27N3O2=377.49

CAS-103238-56-8

(±)-1-[(2-吲哚-3-基-1,1-二甲乙基)氨基]-3-(吲哚-4-基氧)-2-丙醇。

(±)-1-[(2-Indol-3-yl-1,1-dimethylethyl)amino]-3-(indol-4-yloxy)-2-propanol.

血管扩张药。

Parodilol.

INN,USAN.

随便看

 

离鸟网收录3541549条中英文词条,其功能与新华字典、现代汉语词典、牛津高阶英汉词典等各类中英文词典类似,基本涵盖了全部常用中英文字词句的读音、释义及用法,是语言学习和写作的有利工具。

 

Copyright © 2004-2024 vtrois.com All Rights Reserved
更新时间:2026/4/21 10:17:22