网站首页  词典首页


请输入您要查询的字词:

 

字词 希苯洛尔
类别 中英文字词句释义及详细解析
释义 希苯洛尔

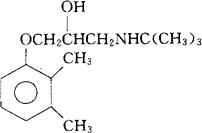
C15H25NO2=251.37

CAS-81584-06-7

(±)-1-(叔-丁氨基)-3-(2,3-二甲苯氧)-2-丙醇。

(±)-1-(tert-Butylamino)-3-(2,3-xylyloxy)-2-propanol.

1-[(1,1-二甲基乙基)氨基]-3-(2,3-二甲基苯氧)-2-丙醇。

1-[(1,1-Dimethylethyl)amino]-3-(2,3-dimethylphenoxy)-2-propanol.

β-受体阻滞药,抗高血压药。

Xibenolol,Rhythminal,D 32.

INN,USAN,MI.

随便看

 

离鸟网收录3541549条中英文词条,其功能与新华字典、现代汉语词典、牛津高阶英汉词典等各类中英文词典类似,基本涵盖了全部常用中英文字词句的读音、释义及用法,是语言学习和写作的有利工具。

 

Copyright © 2004-2024 vtrois.com All Rights Reserved
更新时间:2026/4/21 16:51:57