希洛班
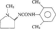
C14H19N3O=245.32 CAS-50528-97-7 N-(2,6-二甲基苯基)-N′-(1-甲基-2-亚吡咯烷基-脲。 Urea,N-(2,6-dimethylphenyl)-N′-(1-methyl-2-Pyrolidinylidene)-. 1-(1-甲基-2-亚吡咯烷基)-3-(2,6-二甲苯基)脲。 1-(1-Methyl-2-pyrrolidinylidene)-3-(2,6-xylyl)urea. 肌肉松弛药。 Xilobam,McN-3113. INN,USAN.  |