网站首页  词典首页


请输入您要查询的字词:

 

字词 布茚多新
类别 中英文字词句释义及详细解析
释义 布茚多新

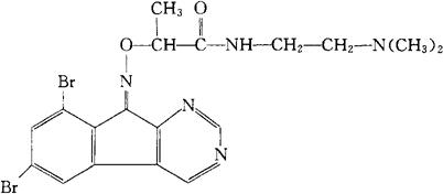
C18H19Br2N5O2=497.19

CAS-55837-17-7

2-[[(6,8-二溴-9H-茚并[2,1-d]嘧啶-9-亚基)氨基]氧]-N-[2-(二甲氨基)乙基]丙酰胺。

2-[[(6,8-Dibromo-9H-indeno[2,1-d]pyrimidin-9-ylidene)amino]oxy]-N-[2-(dimethylamino)ethyl]propionamide.

抗疟药。用于治疗疟疾。

溴茚克辛。

Brindoxim.

INN,USAN.

随便看

 

离鸟网收录3541549条中英文词条,其功能与新华字典、现代汉语词典、牛津高阶英汉词典等各类中英文词典类似,基本涵盖了全部常用中英文字词句的读音、释义及用法,是语言学习和写作的有利工具。

 

Copyright © 2004-2024 vtrois.com All Rights Reserved
更新时间:2026/4/18 17:10:44