网站首页  词典首页


请输入您要查询的字词:

 

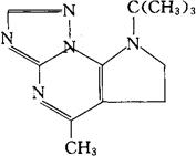
字词 布美地尔
类别 中英文字词句释义及详细解析
释义 布美地尔

C12H17N5=231.30

CAS-62052-97-5

8-叔-丁基-7,8-二氢-5-甲基-6H-吡喀并[3,2-e]-S-三唑并[1,5-a]嘧啶。

8-tert-Butyl-7,8-dihydro-5-methyl-6H-pyrrolo[3,2-e]-s-triazolo[1,5-a]pyrimidine.

血管扩张药,抗高血压药。

Bumepidil,CS 611.

INN,USAN.

随便看

 

离鸟网收录3541549条中英文词条,其功能与新华字典、现代汉语词典、牛津高阶英汉词典等各类中英文词典类似,基本涵盖了全部常用中英文字词句的读音、释义及用法,是语言学习和写作的有利工具。

 

Copyright © 2004-2024 vtrois.com All Rights Reserved
更新时间:2026/4/18 11:31:04