网站首页  词典首页


请输入您要查询的字词:

 

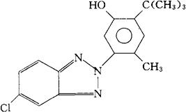
字词 布美三唑
类别 中英文字词句释义及详细解析
释义 布美三唑

C17H18ClN3O=315.80

CAS-3896-11-5

2-(5-氯-2H-苯并三唑-2-基)-6-(1,1-二甲基乙基)-4-甲基酚。

2-(5-Chloro-2H-benzotriazol-2-yl)-6-(1,1-dimethylethyl)-4-methylphenol.

2-叔-丁基-6-(5-氯-2H-苯并三唑-2-基)-对-甲酚。

2-tert-Butyl-6-(5-chloro-2H-benzotriazol-2-yl)-pcresol.

防晒药。

Bumetrizole,Tinuvin 326.

INN,USAN.

随便看

 

离鸟网收录3541549条中英文词条,其功能与新华字典、现代汉语词典、牛津高阶英汉词典等各类中英文词典类似,基本涵盖了全部常用中英文字词句的读音、释义及用法,是语言学习和写作的有利工具。

 

Copyright © 2004-2024 vtrois.com All Rights Reserved
更新时间:2026/4/18 15:02:03