网站首页  词典首页


请输入您要查询的字词:

 

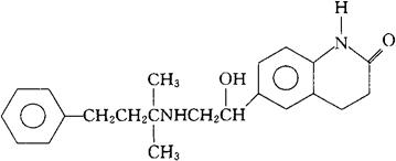
字词 布福洛尔
类别 中英文字词句释义及详细解析
释义 布福洛尔

C22H28N2O2=352.48

CAS-104051-20-9

(±)-6-[2-[(1-1-二甲基-3-苯丙基)氨基]-1-羟乙基]-3,4-二氢喹诺酮。

(±)-6-[2-[(1,1-Dimethyl-3-phenylpropyl)amino]-1-hydroxyethyl]-3,4-dihydro-carbostyril.

α,β-受体阻滞药。

Brefonalol.

INN,USAN.

随便看

 

离鸟网收录3541549条中英文词条,其功能与新华字典、现代汉语词典、牛津高阶英汉词典等各类中英文词典类似,基本涵盖了全部常用中英文字词句的读音、释义及用法,是语言学习和写作的有利工具。

 

Copyright © 2004-2024 vtrois.com All Rights Reserved
更新时间:2026/4/18 0:41:06