网站首页  词典首页


请输入您要查询的字词:

 

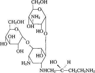
字词 布替卡星
类别 中英文字词句释义及详细解析
释义 布替卡星

C22H45N5O12=571.62

CAS-59733-86-7

O-3-氨基-3-脱氧-α-D-吡喃葡糖基-(1-→6)-O-[6-氨基-6-脱氧-α-D-吡喃葡糖基-(1-→4)]-N1-[(S)-4-氨基-2-羟丁基]-2-脱氧-D-链霉胺。

O-3-Amino-3-deoxy-α-D-glucopyranosyl-(1→6)-O[6-amino-6-deoxy-α-D-glucopyranosyl-(1→4)]-N1-[(S)-4-amino-2-hydroxybutyl]-2-deoxy-D-strep-tamine.

抗生素类药。

Butikacin,UK-18,892.

INN,BAN,USAN.

随便看

 

离鸟网收录3541549条中英文词条,其功能与新华字典、现代汉语词典、牛津高阶英汉词典等各类中英文词典类似,基本涵盖了全部常用中英文字词句的读音、释义及用法,是语言学习和写作的有利工具。

 

Copyright © 2004-2024 vtrois.com All Rights Reserved
更新时间:2026/4/18 7:10:07