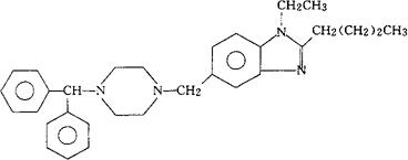
布替利嗪
C31H38N4=466.67 CAS-68741-18-4 2-丁基-5-[[4-(二苯甲基)-1-哌嗪基]甲基]-1-乙基-1H-苯并咪唑。 2-Butyl-5-[[4-(diphenylmethyl)-1-piperazinyl]methyl]-1-ethyl-1H-benzimidazole. 2-丁基-5-[[4-(二苯基甲基)-1-哌嗪基]甲基]-1-乙基苯并咪唑。 2-Butyl-5-[[4-(diphenylmethyl)-1-piperazinyl]methyl]-1-ethylbenzimidazole. 血管扩张药。 Buterizine,R 38,198. INN,USAN. 
|